Free Access

Fig. 4

image

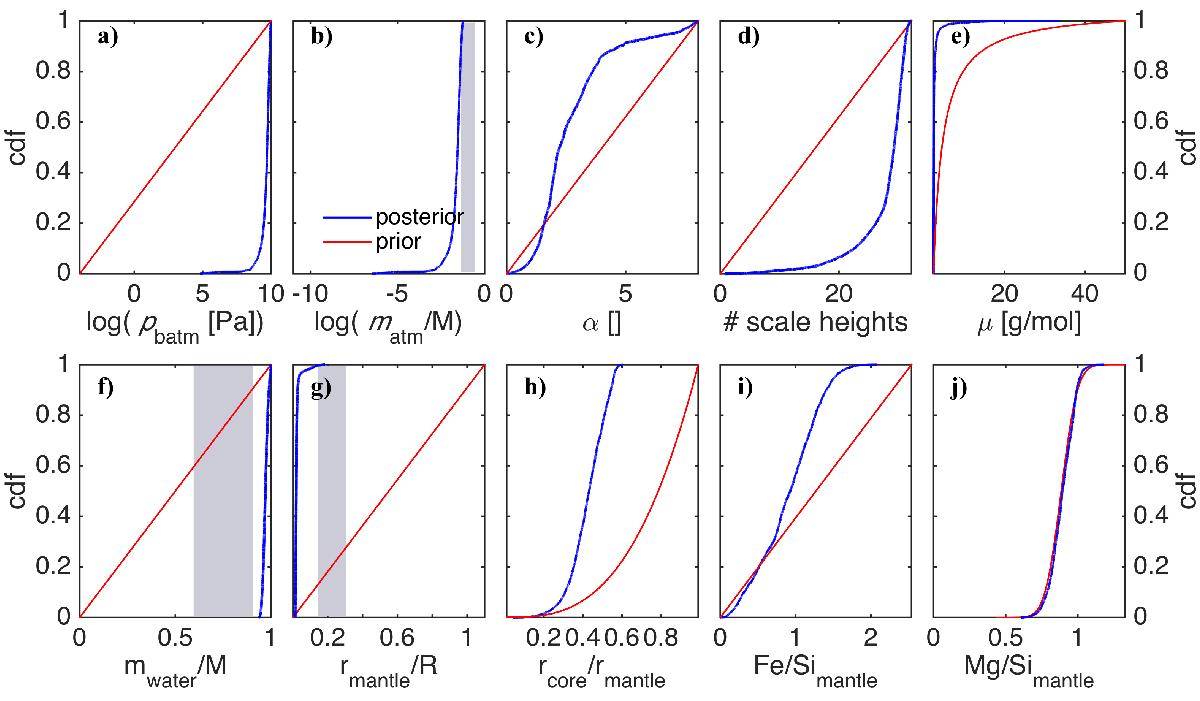
Sampled 1D marginal posterior cdfs (blue) of model II parameters for Neptune: a) pressure at bottom of atmosphere pbatm; b) atmospheric mass fraction matm/M (Eq. (9)); c) temperature-related parameter α; d) number of scale-heights of opaque layers N; e) mean molecular weight μ; f) mass of water mwater; g) mantle radius rmantle; h) core radius rcore; i) Fe/Simantle; j) Mg/Simantle. The prior cdfs are plotted in red. Gray areas in b), e), f) represent independent literature estimates (see main text).

Current usage metrics show cumulative count of Article Views (full-text article views including HTML views, PDF and ePub downloads, according to the available data) and Abstracts Views on Vision4Press platform.

Data correspond to usage on the plateform after 2015. The current usage metrics is available 48-96 hours after online publication and is updated daily on week days.

Initial download of the metrics may take a while.