Free Access

Fig. 6

image

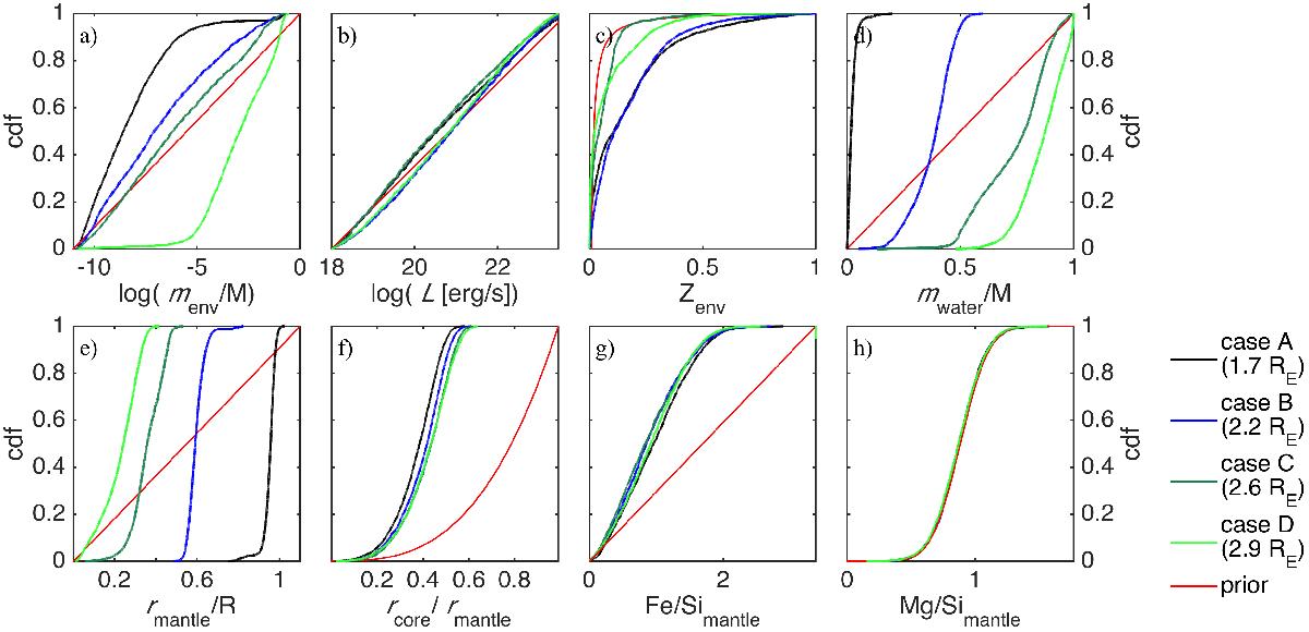
Sampled 1D marginal posterior cdfs of model I parameters for synthetic planet cases (AD) of 7 M that vary in terms of radii: 1.7 R (A), 2.2 R (B), 2.6 R (C), 2.9 R (D); a) mass of envelope menv; b) envelope luminosity L; c) envelope metallicity Zenv; d) mass of water mwater; e) mantle radius rmantle; f) core radius rcore; g) Fe/Simantle; h) Mg/Simantle.

Current usage metrics show cumulative count of Article Views (full-text article views including HTML views, PDF and ePub downloads, according to the available data) and Abstracts Views on Vision4Press platform.

Data correspond to usage on the plateform after 2015. The current usage metrics is available 48-96 hours after online publication and is updated daily on week days.

Initial download of the metrics may take a while.