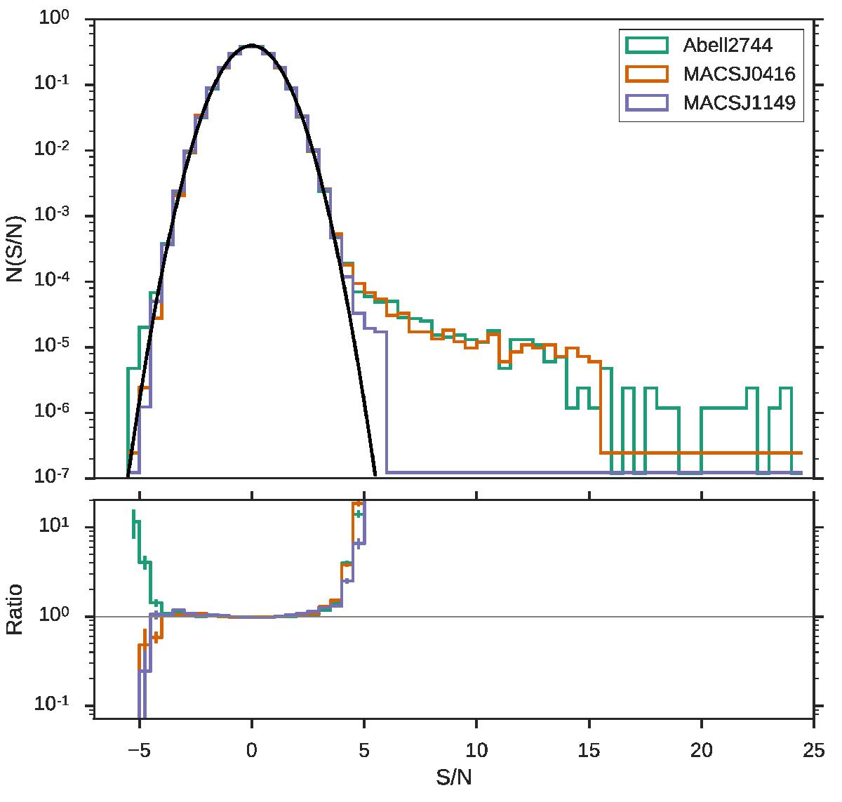
Fig. 5
 
      Normalized histogram of the S/N per pixel for the three cluster images adopting natural weighting. A2744, MACS J0416, and MACS J1149 are shown in green, orange and blue, respectively. The black curve shows the S/N distribution expected for a Gaussian noise distribution, which is well matched to the image S/N histograms, aside from possible deviations present near S/N ~ −5.0 and the clear positive tail denoting emission from real sources. In the bottom panel we show the ratio between the data counts and the Gaussian noise distribution for each bin. The error bars correspond to Poisson errors using the number of elements per bin. The deviation from unity in the ratio at S/N ~ −5.0 in the three cluster images can be explained by low-number statistics. Such behavior is also observed in the S/N distribution tails of simulated images created with only Gaussian noise convolved with the same synthesized beams.
Current usage metrics show cumulative count of Article Views (full-text article views including HTML views, PDF and ePub downloads, according to the available data) and Abstracts Views on Vision4Press platform.
Data correspond to usage on the plateform after 2015. The current usage metrics is available 48-96 hours after online publication and is updated daily on week days.
Initial download of the metrics may take a while.
