Free Access

Fig. 10

image

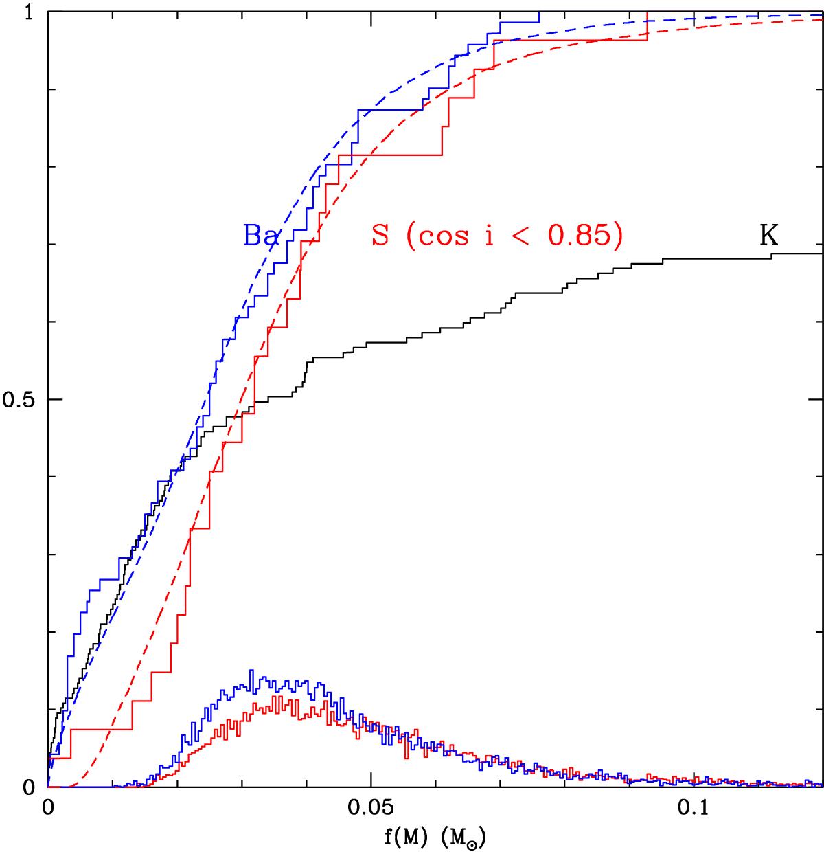
Cumulative mass-function distributions for barium systems (blue), S-star systems (red), and K giants in clusters (black). The step curves correspond to the observed values, as listed in Tables A.1A.3. The dashed curves are the synthetic curves produced by the adopted Gaussian distributions, with parameters as listed on the lines labelled Ba and S in Table 1. The histograms at the bottom of the figure correspond to the histograms of Q values for barium and S systems resulting from the normal distributions adopted for M1 and M2.

Current usage metrics show cumulative count of Article Views (full-text article views including HTML views, PDF and ePub downloads, according to the available data) and Abstracts Views on Vision4Press platform.

Data correspond to usage on the plateform after 2015. The current usage metrics is available 48-96 hours after online publication and is updated daily on week days.

Initial download of the metrics may take a while.