Free Access

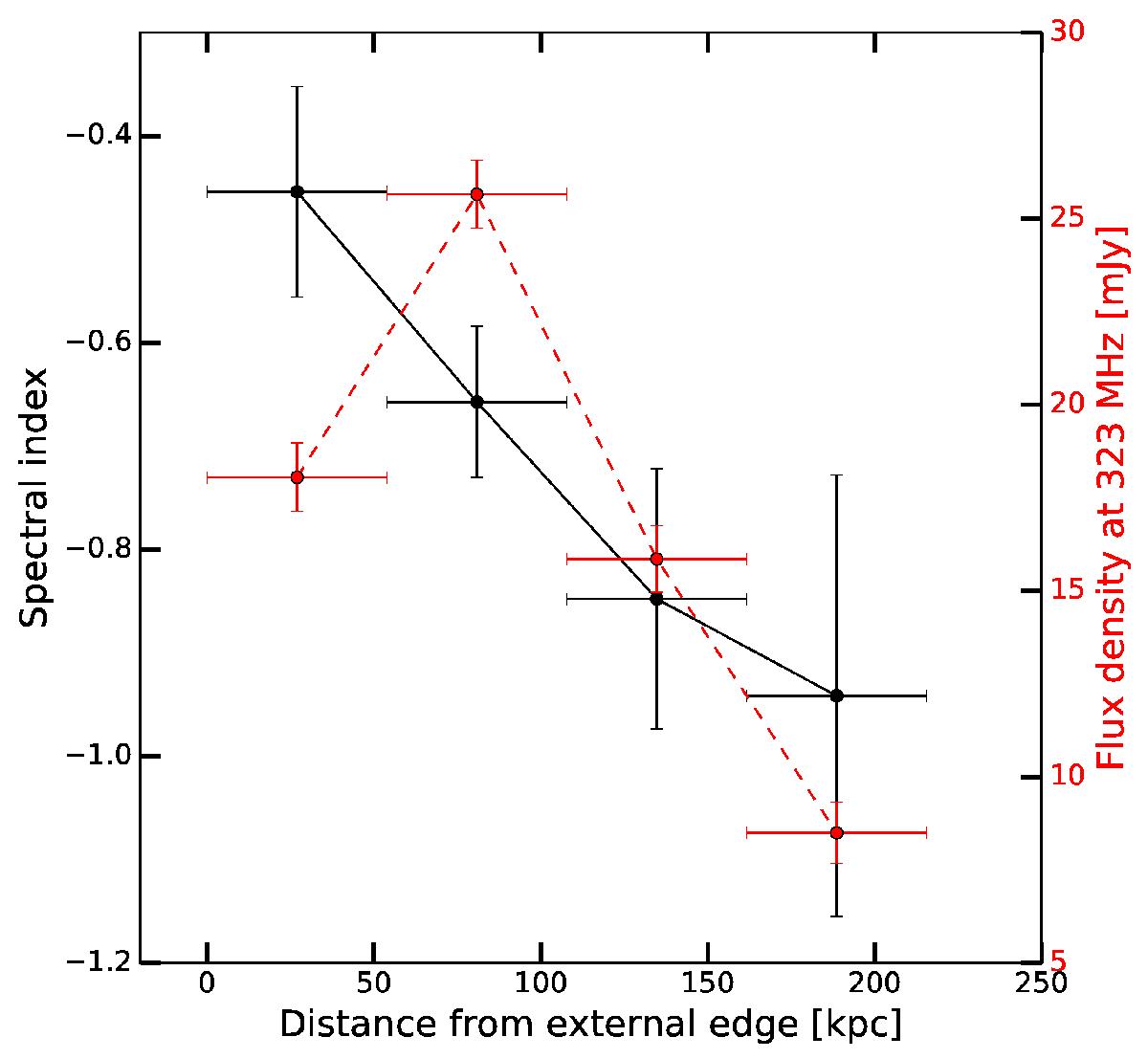
Fig. 6

image

Radio spectral index between 323 and 608 MHz (black solid-line). Radio flux density at 323 MHz across the source extension (red dashed-line). The data-points correspond to the regions displayed in Fig. 1d. Error-bars on the x-axes correspond to the region size.

Current usage metrics show cumulative count of Article Views (full-text article views including HTML views, PDF and ePub downloads, according to the available data) and Abstracts Views on Vision4Press platform.

Data correspond to usage on the plateform after 2015. The current usage metrics is available 48-96 hours after online publication and is updated daily on week days.

Initial download of the metrics may take a while.