Fig. 14

image

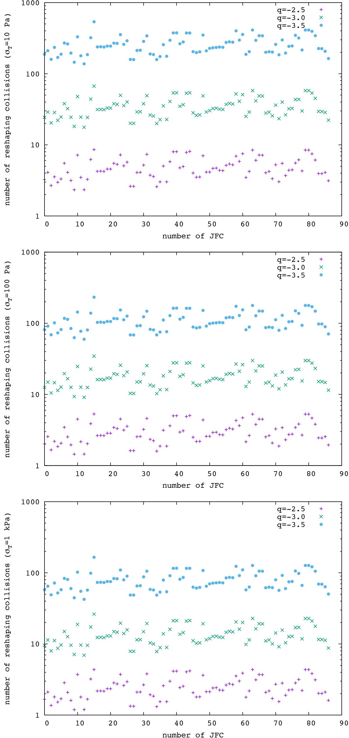
Same as Fig. 13, but shown is the number of shape-changing collisions on a 67P-like body Nreshape, computed using scaling the parameters for Qreshape for different strengths. We note that the number of shape-changing collisions Nbil in the case of a generic bi-lobe shape with nominal strength properties is the same as Nreshape for YT = 1000 Pa (shown in the plot at the bottom).

This figure is made of several images, please see below:

Current usage metrics show cumulative count of Article Views (full-text article views including HTML views, PDF and ePub downloads, according to the available data) and Abstracts Views on Vision4Press platform.

Data correspond to usage on the plateform after 2015. The current usage metrics is available 48-96 hours after online publication and is updated daily on week days.

Initial download of the metrics may take a while.