Fig. 17

image

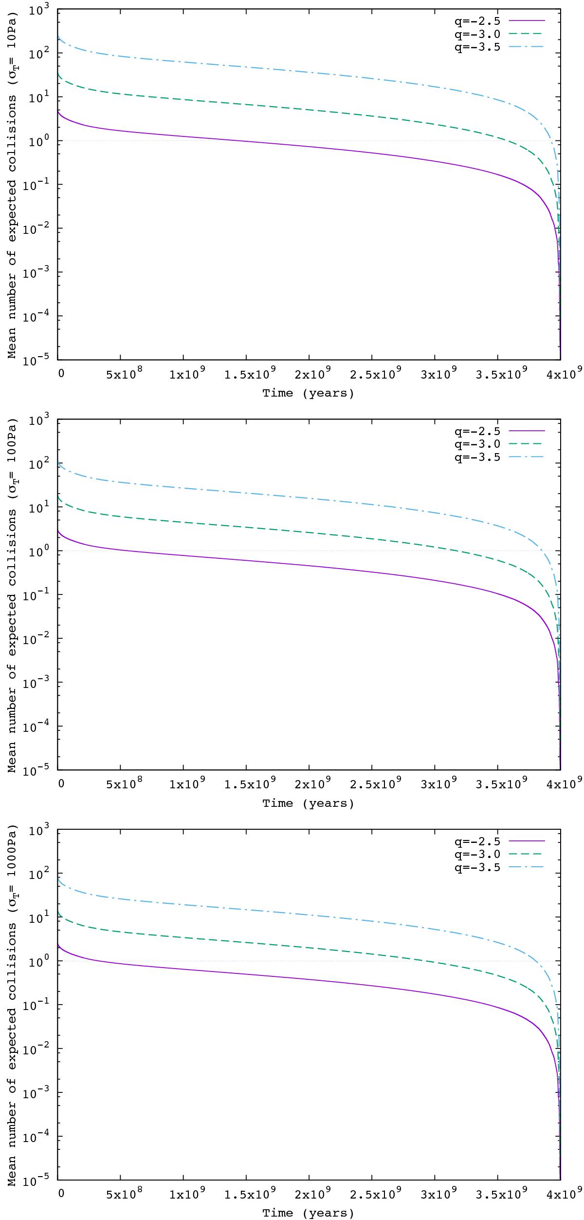
Mean number of reshaping collisions Nreshape expected for 67P-like objects as a function of time for different strengths, as indicated on the y axis. We note that the number of shape-changing collisions Nbil in the case of a generic bi-lobe shape with nominal strength properties is the same as Nreshape for YT = 1000 Pa (bottom). Time t = 0 corresponds to the beginning of the dynamical dispersal of the original trans-Neptunian disk of planetesimals, which generates the Scattered Disk; t = 4 × 109 yr is now.

This figure is made of several images, please see below:

Current usage metrics show cumulative count of Article Views (full-text article views including HTML views, PDF and ePub downloads, according to the available data) and Abstracts Views on Vision4Press platform.

Data correspond to usage on the plateform after 2015. The current usage metrics is available 48-96 hours after online publication and is updated daily on week days.

Initial download of the metrics may take a while.