Fig. 7

image

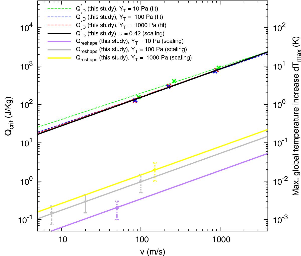
Critical specific impact energies Qcrit. The energy thresholds for shape-changing impacts on a 67P-like shape (Qreshape) for different material strength are shown, as well as the catastrophic disruption energies for various impact velocities. We note that the Qbil values found for shape-changing collisions on generic bi-lobe shapes overlap the results for Qreshape with YT = 1000 Pa; they are not shown seperately. The solid lines show the scaling law (Eq. (2)) with parameters given in Table 2. The maximal global temperature increase dT shown on the right y axis is estimated by assuming that all kinetic impact energy is converted into internal energy: dT = Qcrit/cp where a constant heat capacity cp = 100 J/kg/K is used.

Current usage metrics show cumulative count of Article Views (full-text article views including HTML views, PDF and ePub downloads, according to the available data) and Abstracts Views on Vision4Press platform.

Data correspond to usage on the plateform after 2015. The current usage metrics is available 48-96 hours after online publication and is updated daily on week days.

Initial download of the metrics may take a while.