Highlight
Free Access

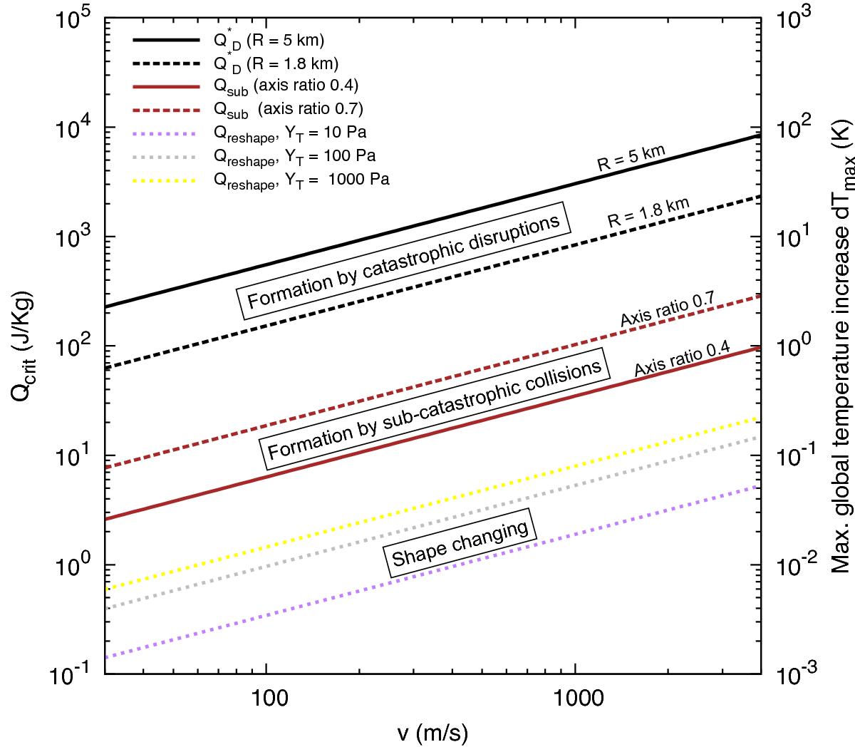
Fig. 6

image

Critical specific impact energies (adapted from Paper I): shown are specific energies for catastrophic disruptions (), shape changing collisions (Qreshape) and sub-catastrophic impacts (Qsub). For the latter, a target radius R = 2.52 km and impact velocities of V = 300 m/s (axis ratio 0.7) and V = 250 m/s (axis ratio 0.4) have been assumed.

Current usage metrics show cumulative count of Article Views (full-text article views including HTML views, PDF and ePub downloads, according to the available data) and Abstracts Views on Vision4Press platform.

Data correspond to usage on the plateform after 2015. The current usage metrics is available 48-96 hours after online publication and is updated daily on week days.

Initial download of the metrics may take a while.