Free Access

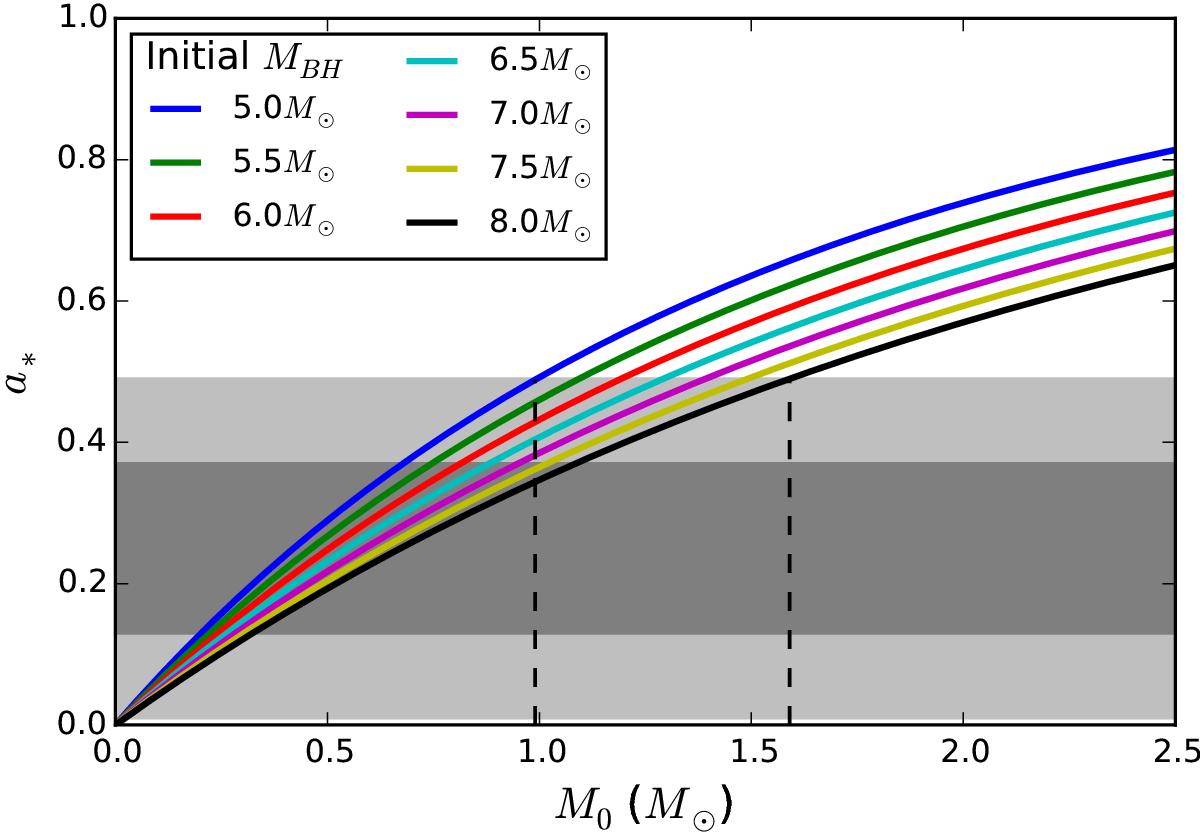
Fig. 1

image

Evolution of the BH spin parameter, given by Eq. (9), for a set of BH initial masses Mi as a function of accreted mass M0 Eq. (10). The gray areas mark the 1σ and 2σ errors centered on the observed spin parameter for LMC X-3 (see Table 1). The vertical dashed black lines indicate the maximum allowed accreted mass M0, at 2σ limit for an initial non-spinning BH mass of 5 M (left) and 8 M (right), respectively.

Current usage metrics show cumulative count of Article Views (full-text article views including HTML views, PDF and ePub downloads, according to the available data) and Abstracts Views on Vision4Press platform.

Data correspond to usage on the plateform after 2015. The current usage metrics is available 48-96 hours after online publication and is updated daily on week days.

Initial download of the metrics may take a while.