Free Access
    
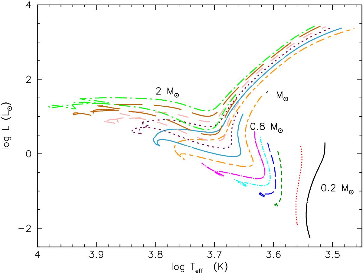
Fig. 1
 
      Stellar evolution tracks in the HRD for the standard models of 0.2, 0.3, 0.5, 0.6, 0.7, 0.8, 1.0, 1.2, 1.4, 1.6, 1.8, and 2 M⊙ at solar metallicity. The tracks are shown up to the RGB tip for the more massive stars that have a lifetime lower than 20 Gyr and up to this age for the lower mass stars.
Current usage metrics show cumulative count of Article Views (full-text article views including HTML views, PDF and ePub downloads, according to the available data) and Abstracts Views on Vision4Press platform.
Data correspond to usage on the plateform after 2015. The current usage metrics is available 48-96 hours after online publication and is updated daily on week days.
Initial download of the metrics may take a while.
