Free Access

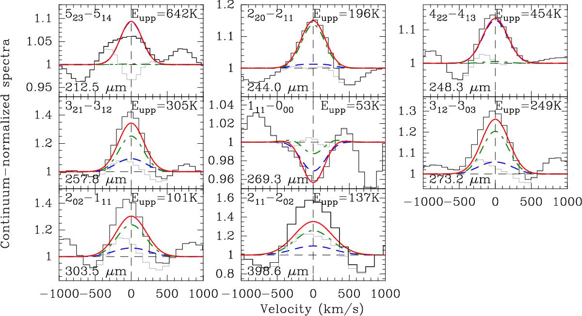
Fig. 6

image

H2O lines observed in Arp 299A with SPIRE. The black histograms are the observed, continuum-normalized, spectra. The best fit models from Sect. 3 are also included. The dashed blue and dashed-dotted green curves denote the models for the inner and outer components, respectively, and the solid red curve denotes the sum of the models. Gray histograms are the residual spectra after model subtraction.

Current usage metrics show cumulative count of Article Views (full-text article views including HTML views, PDF and ePub downloads, according to the available data) and Abstracts Views on Vision4Press platform.

Data correspond to usage on the plateform after 2015. The current usage metrics is available 48-96 hours after online publication and is updated daily on week days.

Initial download of the metrics may take a while.