Free Access

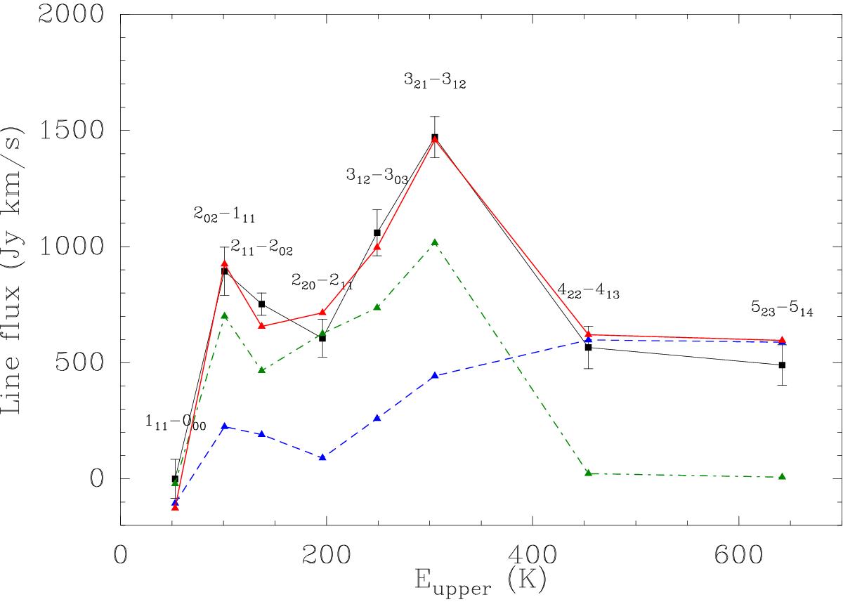
Fig. 7

image

Spectral line energy distribution of the H2O lines detected with SPIRE, the black squares represent the data. Model predictions are included with the dashed blue and dashed-dotted green curves denoting the models for the inner and outer components, respectively. The solid red curve is the sum of these two models.

Current usage metrics show cumulative count of Article Views (full-text article views including HTML views, PDF and ePub downloads, according to the available data) and Abstracts Views on Vision4Press platform.

Data correspond to usage on the plateform after 2015. The current usage metrics is available 48-96 hours after online publication and is updated daily on week days.

Initial download of the metrics may take a while.