Free Access

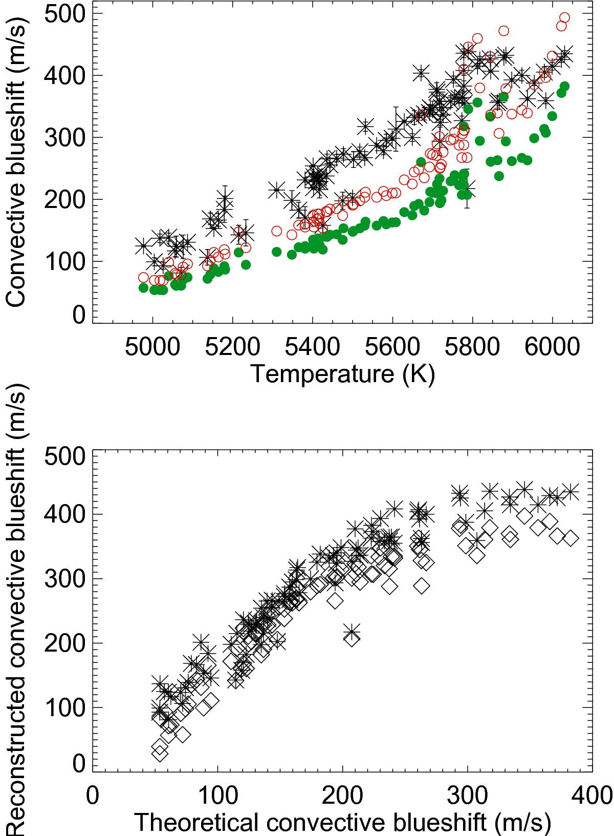
Fig. 11

image

Upper panel: reconstructed convective blueshift versus Teff for the stars for which the formula of Allende Prieto et al. (2013) could be applied (stars). The convective blueshift derived from Allende Prieto et al. (2013) for those stars is shown before correction from the wavelength range (red circle) and after correction (green dots). Lower panel: reconstructed convective blueshift versus those derived from Allende Prieto et al. (2013), from the original TSS (stars) and those corrected for the wavelength dependence (diamonds).

Current usage metrics show cumulative count of Article Views (full-text article views including HTML views, PDF and ePub downloads, according to the available data) and Abstracts Views on Vision4Press platform.

Data correspond to usage on the plateform after 2015. The current usage metrics is available 48-96 hours after online publication and is updated daily on week days.

Initial download of the metrics may take a while.