Free Access

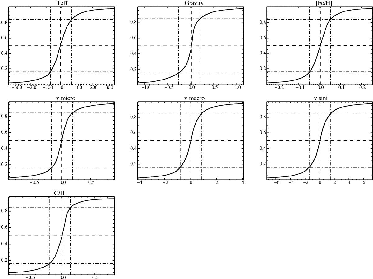
Fig. 4

image

Examples of normalized cumulative distribution functions of parameter offsets Δpi for an SME fit. The x-axis is parameter offset Δp relative to the value returned by SME. The horizontal dash and dash-dotted lines show the median and the ±1σ levels.

Current usage metrics show cumulative count of Article Views (full-text article views including HTML views, PDF and ePub downloads, according to the available data) and Abstracts Views on Vision4Press platform.

Data correspond to usage on the plateform after 2015. The current usage metrics is available 48-96 hours after online publication and is updated daily on week days.

Initial download of the metrics may take a while.