Free Access

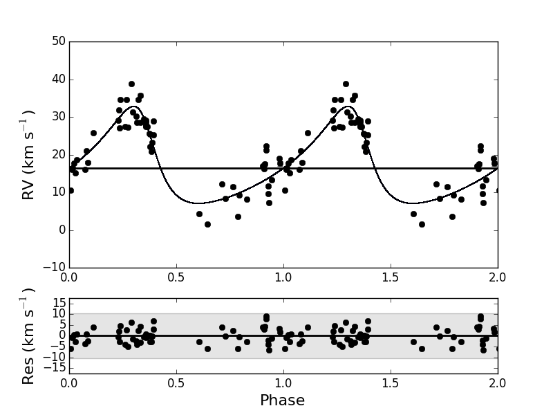
Fig. 10

image

Top: original radial velocity data of EP Lyr fitted with a Keplerian orbit folded on an orbital period of 1080 d and eccentricity of 0.6. Middle: pulsations in the radial velocity folded on a period of 83.2 d. The red squares and the purple shaded region display the positions in the phase plot where the shocks occur. Bottom: pulsation cleaned orbit folded on a period of 1066 d with an eccentricity of 0.6.

This figure is made of several images, please see below:

Current usage metrics show cumulative count of Article Views (full-text article views including HTML views, PDF and ePub downloads, according to the available data) and Abstracts Views on Vision4Press platform.

Data correspond to usage on the plateform after 2015. The current usage metrics is available 48-96 hours after online publication and is updated daily on week days.

Initial download of the metrics may take a while.