Free Access

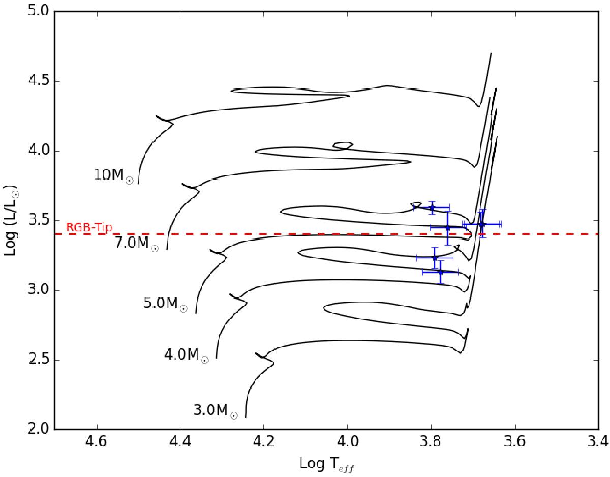
Fig. 14

image

Position of the Galactic RV Tauri stars on the HRD. The dark lines are evolutionary tracks from Bertelli et al. (2009). The red dashed line shows the RGB-tip at 2500 L. The positions of TW Cam and IRAS 17038-4815 nearly coincide here.

Current usage metrics show cumulative count of Article Views (full-text article views including HTML views, PDF and ePub downloads, according to the available data) and Abstracts Views on Vision4Press platform.

Data correspond to usage on the plateform after 2015. The current usage metrics is available 48-96 hours after online publication and is updated daily on week days.

Initial download of the metrics may take a while.