Free Access

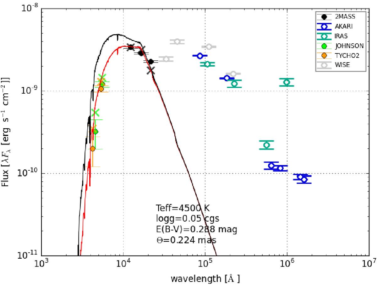
Fig. A.3

image

SED of IRAS 170384815. The red line is the stellar photosphere fitted using a Kurucz model and the black line is the dereddened model.

Current usage metrics show cumulative count of Article Views (full-text article views including HTML views, PDF and ePub downloads, according to the available data) and Abstracts Views on Vision4Press platform.

Data correspond to usage on the plateform after 2015. The current usage metrics is available 48-96 hours after online publication and is updated daily on week days.

Initial download of the metrics may take a while.