Free Access

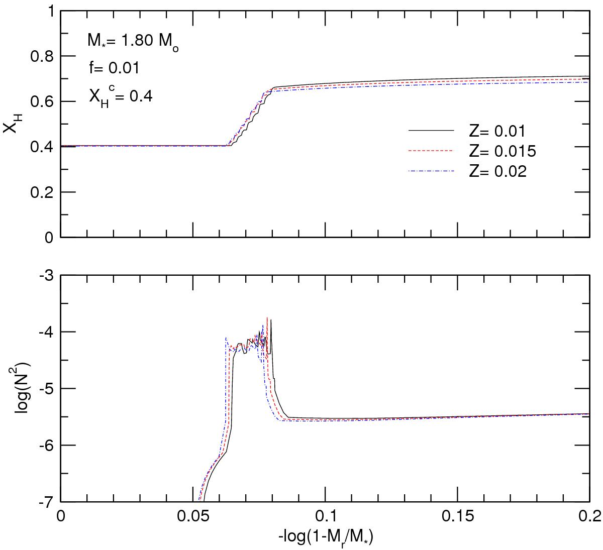
Fig. 11

image

H abundance (upper panel), and the logarithm of the squared Brunt-Väisälä frequency (lower panel) corresponding to stellar models with M = 1.80 M, f = 0.01, and (central abundance), for different values of the metallicity, Z = 0.01,0.015,0.02. The location of these models in the HR diagram are marked in Fig. 4 with black dots.

Current usage metrics show cumulative count of Article Views (full-text article views including HTML views, PDF and ePub downloads, according to the available data) and Abstracts Views on Vision4Press platform.

Data correspond to usage on the plateform after 2015. The current usage metrics is available 48-96 hours after online publication and is updated daily on week days.

Initial download of the metrics may take a while.