Free Access

Fig. 12

image

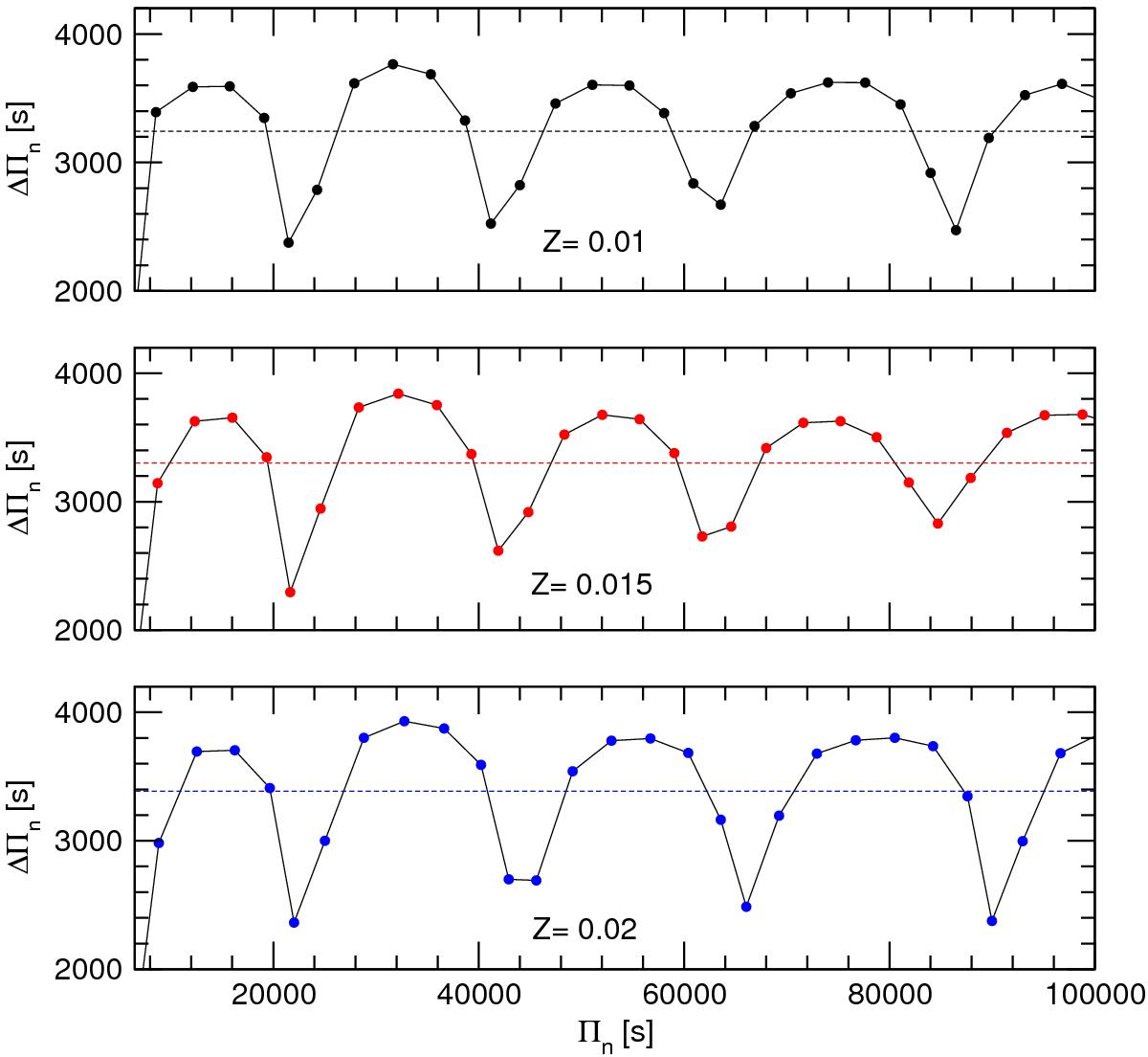
The dipole forward period spacing (ΔΠn) of g modes in terms of the periods (Πn) corresponding to the same stellar models shown in Fig. 11. The asymptotic period spacing () is depicted with dashed lines.

Current usage metrics show cumulative count of Article Views (full-text article views including HTML views, PDF and ePub downloads, according to the available data) and Abstracts Views on Vision4Press platform.

Data correspond to usage on the plateform after 2015. The current usage metrics is available 48-96 hours after online publication and is updated daily on week days.

Initial download of the metrics may take a while.