Free Access

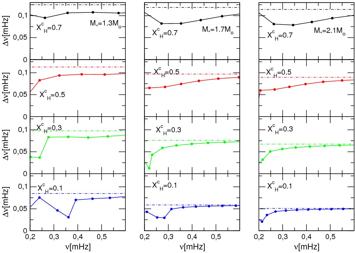
Fig. 7

image

The dipole ( = 1) forward frequency spacing (Δν) of p modes in terms of the frequencies ν corresponding to the same stellar models with M = 1.30 M (left), M = 1.70 M (middle) and M = 2.10 M (right) shown in Fig. 5. The horizontal thin dashed lines correspond to the asymptotic frequency spacing () computed according to Eq. (4). The H abundance at the stellar centre () is indicated in each panel.

Current usage metrics show cumulative count of Article Views (full-text article views including HTML views, PDF and ePub downloads, according to the available data) and Abstracts Views on Vision4Press platform.

Data correspond to usage on the plateform after 2015. The current usage metrics is available 48-96 hours after online publication and is updated daily on week days.

Initial download of the metrics may take a while.