Free Access
    
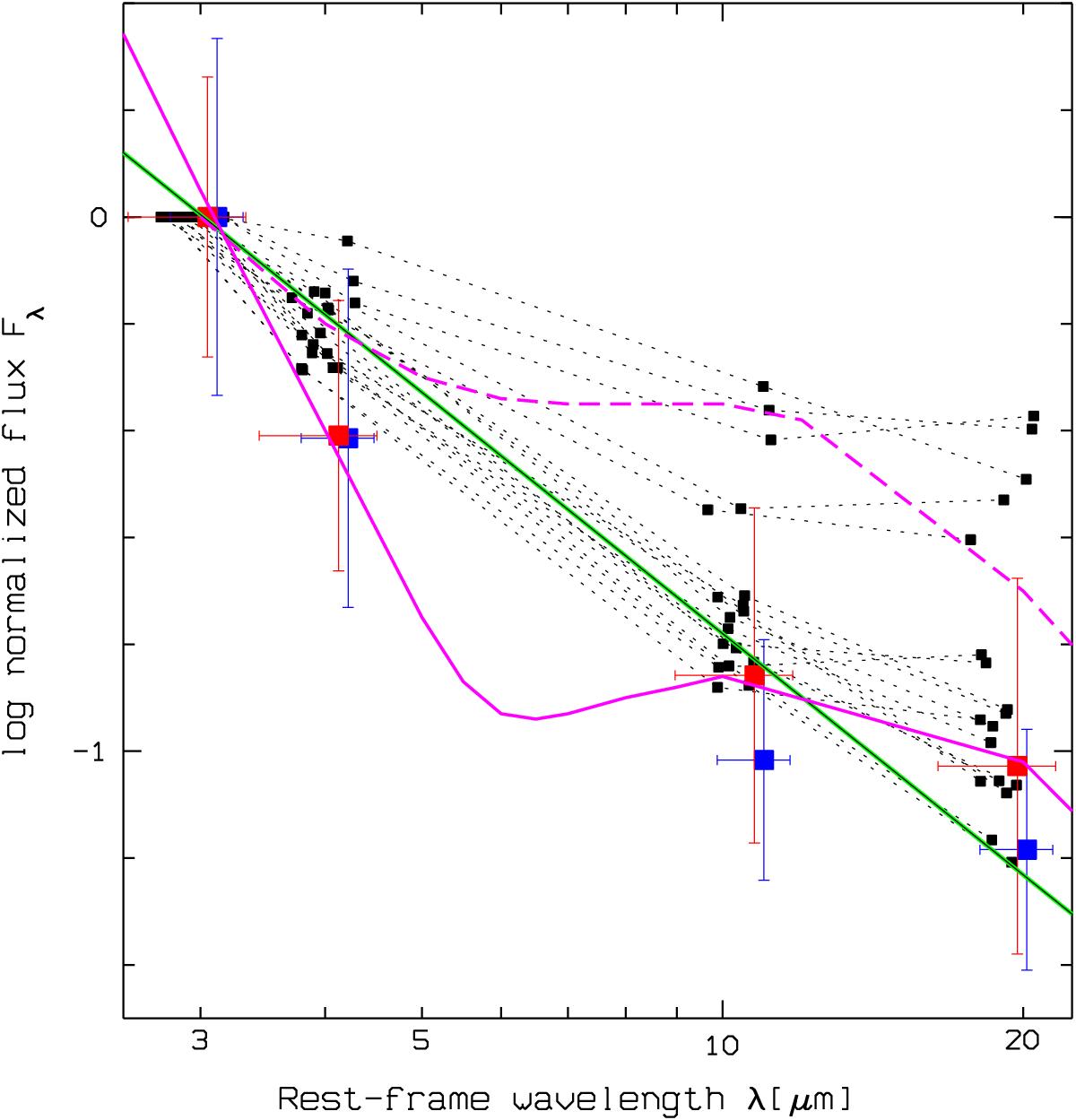
Fig. 19
 
      SED of E+A samples with EW(Hδ) > 5 Å (red) and 3–5 Å (blue), and of AGNs from WISE (black). Magenta curves: two-component model from Melnick & De Propris (2013) for PSB galaxies (solid) and three-component model from Melnick et al. (2015) for post-starburst quasars (dashed). Green line: power law Fλ ∝ λ-1.5.
Current usage metrics show cumulative count of Article Views (full-text article views including HTML views, PDF and ePub downloads, according to the available data) and Abstracts Views on Vision4Press platform.
Data correspond to usage on the plateform after 2015. The current usage metrics is available 48-96 hours after online publication and is updated daily on week days.
Initial download of the metrics may take a while.
