Free Access

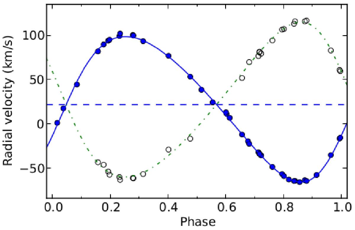
Fig. 7

image

Double-lined STELLA orbit for HSS 348. The primary is the sharper-lined component (full symbols), the secondary is the broader-lined component (open symbols). The dashed line marks the systemic velocity. Typical error bars are smaller than or on the order of the symbol size.

Current usage metrics show cumulative count of Article Views (full-text article views including HTML views, PDF and ePub downloads, according to the available data) and Abstracts Views on Vision4Press platform.

Data correspond to usage on the plateform after 2015. The current usage metrics is available 48-96 hours after online publication and is updated daily on week days.

Initial download of the metrics may take a while.