Open Access

Fig. 1

image

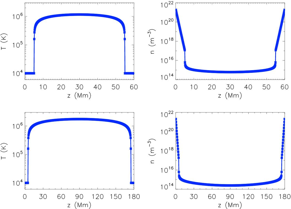
Temperature and density initial conditions with 500 grid points along the length of the loop. Upper panels: 60 Mm loop with Qbg = 2.2167 × 10-5 J m-3 s-1. Lower panels: 180 Mm loop with Qbg = 6.8682 × 10-6 J m-3 s-1. Each asterisk represents a single grid point.

Current usage metrics show cumulative count of Article Views (full-text article views including HTML views, PDF and ePub downloads, according to the available data) and Abstracts Views on Vision4Press platform.

Data correspond to usage on the plateform after 2015. The current usage metrics is available 48-96 hours after online publication and is updated daily on week days.

Initial download of the metrics may take a while.