Open Access

Fig. 2

image

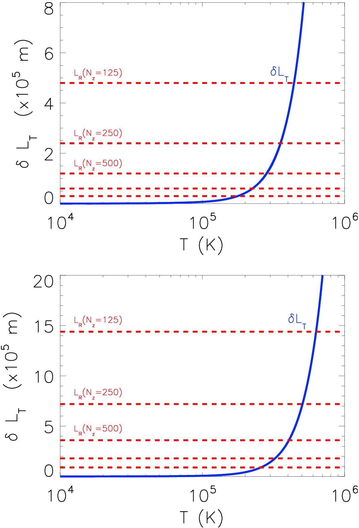
The product of δ and the temperature length scale (LT) as a function of temperature (solid blue line) based on fully resolved equilibrium solutions that are computed with 5 × 105 grid points along the length of the loop and are consistent with the short and long loop initial conditions shown in Fig. 1. Upper panel: 60 Mm loop. Lower panel: 180 Mm loop. The dashed red lines are the simulation resolutions (LR) obtained by using different numbers of grid points. In both plots, starting from the top the first dashed red line corresponds to 125 grid points, the second to 250 grid points, the third to 500 grid points, the fourth to 1000 grid points and the fifth to 2000 grid points.

Current usage metrics show cumulative count of Article Views (full-text article views including HTML views, PDF and ePub downloads, according to the available data) and Abstracts Views on Vision4Press platform.

Data correspond to usage on the plateform after 2015. The current usage metrics is available 48-96 hours after online publication and is updated daily on week days.

Initial download of the metrics may take a while.