Open Access

Fig. 3

image

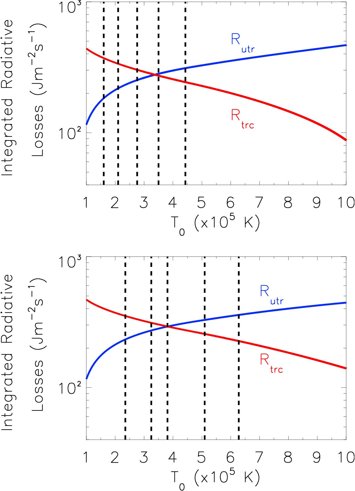
IRL in the UTR (solid blue line) and resolved upper TR and corona (solid red line) based on fully resolved equilibrium solutions that are computed with 5 × 105 grid points along the length of the loop and are consistent with the short and long loop initial conditions shown in Fig. 1. Upper panel: 60 Mm loop. Lower panel: 180 Mm loop. The dashed black lines are the temperatures at the top of the UTR (T0) that are obtained by using the different simulation resolutions (LR). In both plots, starting from the right the first dashed black line corresponds to 125 grid points, the second to 250 grid points, the third to 500 grid points, the fourth to 1000 grid points and the fifth to 2000 grid points.

Current usage metrics show cumulative count of Article Views (full-text article views including HTML views, PDF and ePub downloads, according to the available data) and Abstracts Views on Vision4Press platform.

Data correspond to usage on the plateform after 2015. The current usage metrics is available 48-96 hours after online publication and is updated daily on week days.

Initial download of the metrics may take a while.