Free Access

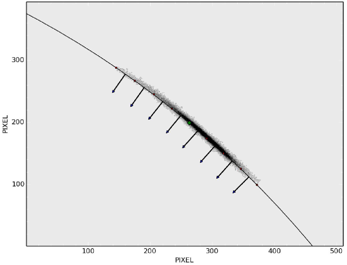
Fig. 2

image

Example of the Mediatrix method applied to a simulated arc for n = 3. The dots show the Mediatrix points and the arrows the ni vectors. The solid line is the circle that contains points E1, , and E2.

Current usage metrics show cumulative count of Article Views (full-text article views including HTML views, PDF and ePub downloads, according to the available data) and Abstracts Views on Vision4Press platform.

Data correspond to usage on the plateform after 2015. The current usage metrics is available 48-96 hours after online publication and is updated daily on week days.

Initial download of the metrics may take a while.