Free Access

Fig. 2

image

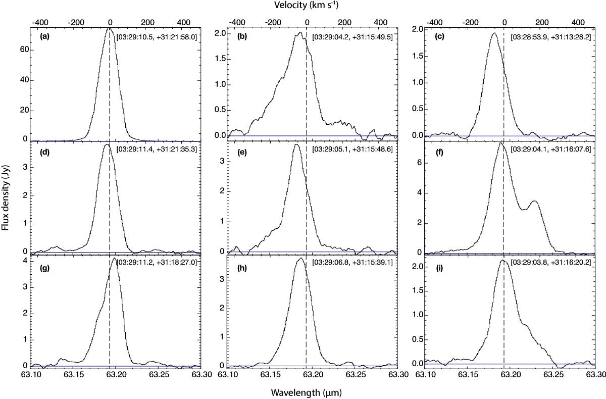
Continuum-subtracted spectra of the [O i] line at 63 μm extracted from single PACS pixels on selected positions denoted with filled (red) squares in the right panel of Fig. 1. Coordinates corresponding to different locations are given at the top right of each panel. The dashed line indicates the [O i] cloud velocity at 24 km s-1 or 63.191 μm (see also Fig. 4).

Current usage metrics show cumulative count of Article Views (full-text article views including HTML views, PDF and ePub downloads, according to the available data) and Abstracts Views on Vision4Press platform.

Data correspond to usage on the plateform after 2015. The current usage metrics is available 48-96 hours after online publication and is updated daily on week days.

Initial download of the metrics may take a while.