Free Access

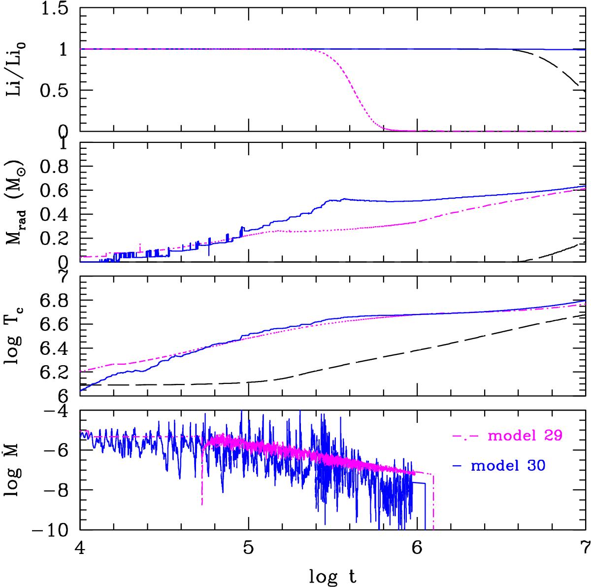
Fig. 6

image

Evolution of various quantities as a function of time (in yr) for model 29 (dash-dotted magenta curve) with final mass 0.735 M and model 30 (solid blue curve) with final mass 0.752 M under the assumption of cold accretion. Li/Li0 is the surface abundance of lithium in units of the initial mass fraction. Mrad is the size of the radiative core in M. Tc is the central temperature and (in M yr-1) is the accretion rate predicted by the hydrodynamical simulations. The black long-dashed curves are the predictions from a non-accreting stellar evolution models with mass 0.75 M from Baraffe et al. (1998).

Current usage metrics show cumulative count of Article Views (full-text article views including HTML views, PDF and ePub downloads, according to the available data) and Abstracts Views on Vision4Press platform.

Data correspond to usage on the plateform after 2015. The current usage metrics is available 48-96 hours after online publication and is updated daily on week days.

Initial download of the metrics may take a while.