Free Access

This article has an erratum: [https://doi.org/10.1051/0004-6361/201629327e]


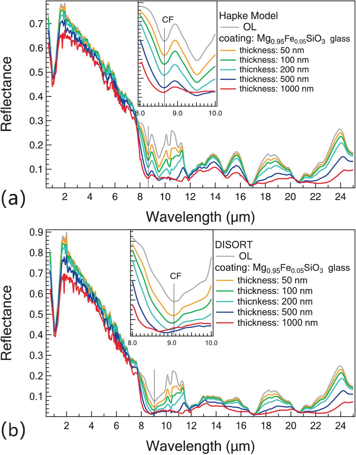
Fig. 19

image

Modeled reflectance of olivines coated by Glass 1. Predictions of the Hapke model a) and the DISORT b). The insets are enlarged CF features and the vertical black lines indicate the CF positions of the uncoated olivine.

Current usage metrics show cumulative count of Article Views (full-text article views including HTML views, PDF and ePub downloads, according to the available data) and Abstracts Views on Vision4Press platform.

Data correspond to usage on the plateform after 2015. The current usage metrics is available 48-96 hours after online publication and is updated daily on week days.

Initial download of the metrics may take a while.