Free Access

Fig. B.1

image

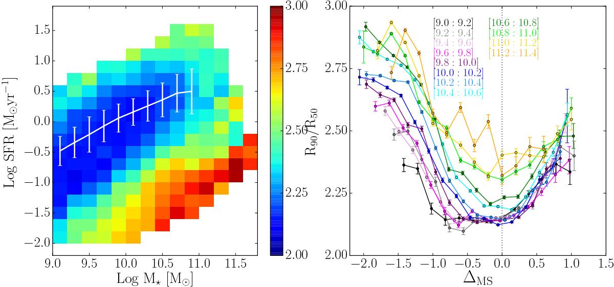
Left panel: Log SFR – Log M plane colour–coded as a function of the weighted average of the R90/R50 ratio. The white line represent the location of the MS of SFGs, and the error bars its dispersion. Rightpanel: R90/R50 ratio as a function of the distance from the MS (ΔMS) in different stellar mass bins.

Current usage metrics show cumulative count of Article Views (full-text article views including HTML views, PDF and ePub downloads, according to the available data) and Abstracts Views on Vision4Press platform.

Data correspond to usage on the plateform after 2015. The current usage metrics is available 48-96 hours after online publication and is updated daily on week days.

Initial download of the metrics may take a while.