Free Access

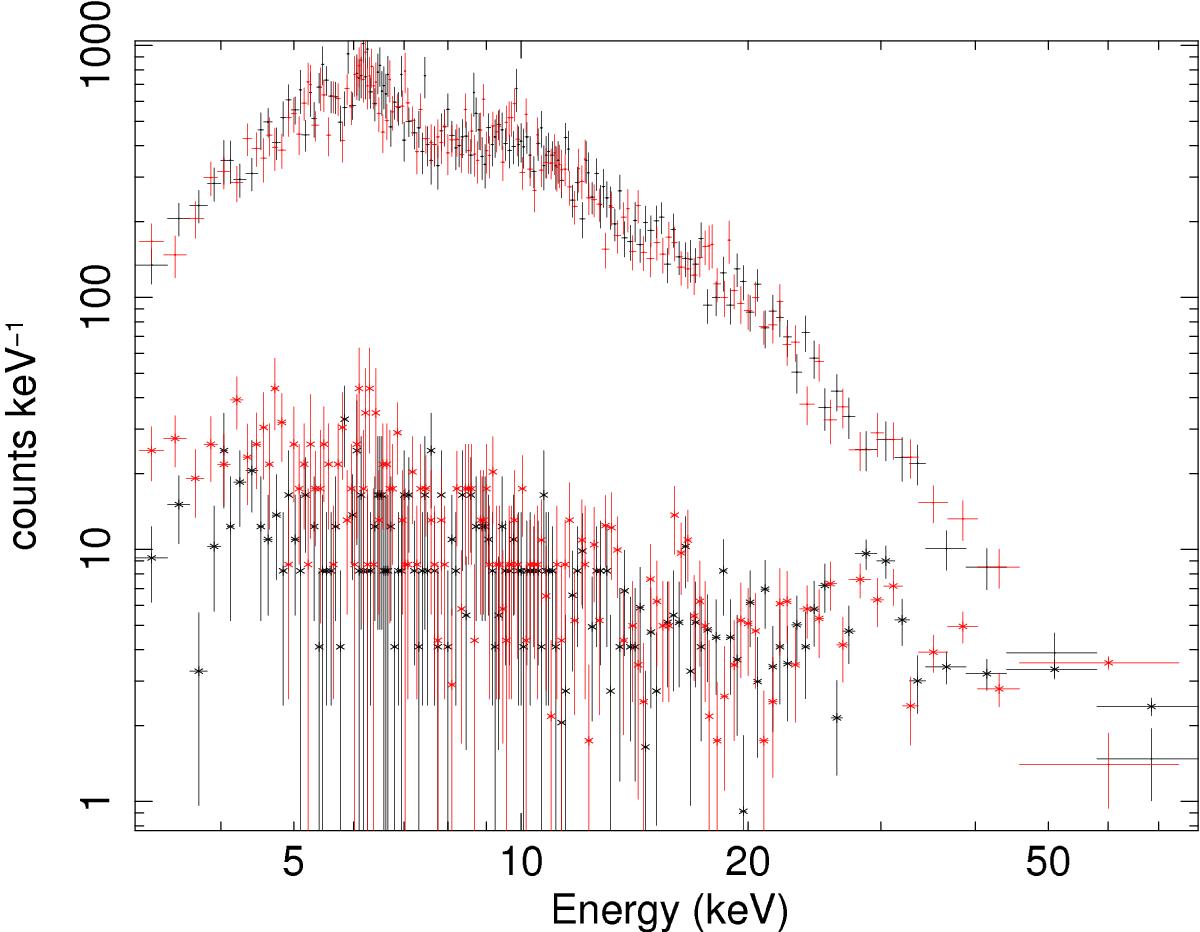
Fig. 2

image

NuSTAR background-subtracted spectrum of Mrk 1210 (FPMA in black, FPMB in red). The background is shown by diamonds, and is lower than the source signal up to ~50 keV. Both have been rebinned for plotting clarity.

Current usage metrics show cumulative count of Article Views (full-text article views including HTML views, PDF and ePub downloads, according to the available data) and Abstracts Views on Vision4Press platform.

Data correspond to usage on the plateform after 2015. The current usage metrics is available 48-96 hours after online publication and is updated daily on week days.

Initial download of the metrics may take a while.