Free Access

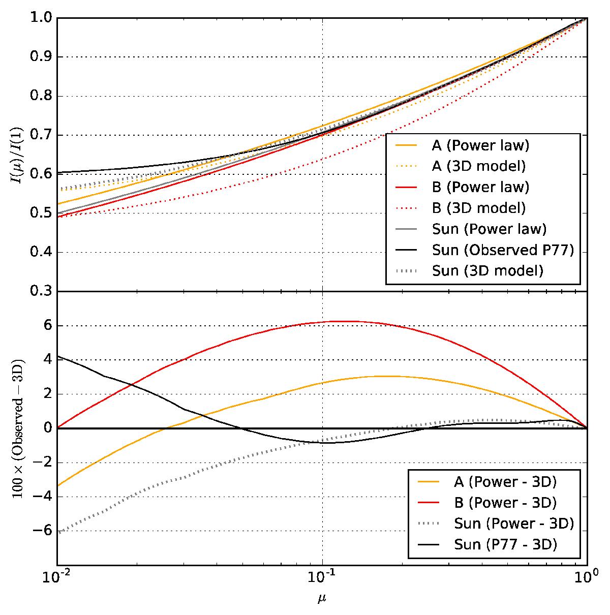
Fig. 8

image

Intensity profiles I(μ) /I(1) for α Cen A, α Cen B and the Sun. Top panel: the observed power laws I(μ) /I(1) = uα are represented with solid curves, together with the measured polynomial by Pierce et al. (1977, P77, black). The 3D model predictions are represented with dashed curves. Bottom panel: differences between the observed profiles and the 3D model predictions.

Current usage metrics show cumulative count of Article Views (full-text article views including HTML views, PDF and ePub downloads, according to the available data) and Abstracts Views on Vision4Press platform.

Data correspond to usage on the plateform after 2015. The current usage metrics is available 48-96 hours after online publication and is updated daily on week days.

Initial download of the metrics may take a while.