Free Access

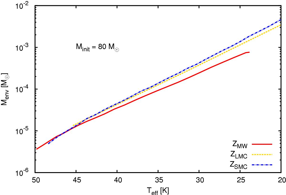
Fig. 10

image

Envelope mass versus effective temperature for the 80 M sequences from the MW, LMC, and SMC grids. Only models in the Teff range 20−50 kK and with Ys< 0.3 are shown.

Current usage metrics show cumulative count of Article Views (full-text article views including HTML views, PDF and ePub downloads, according to the available data) and Abstracts Views on Vision4Press platform.

Data correspond to usage on the plateform after 2015. The current usage metrics is available 48-96 hours after online publication and is updated daily on week days.

Initial download of the metrics may take a while.