Free Access

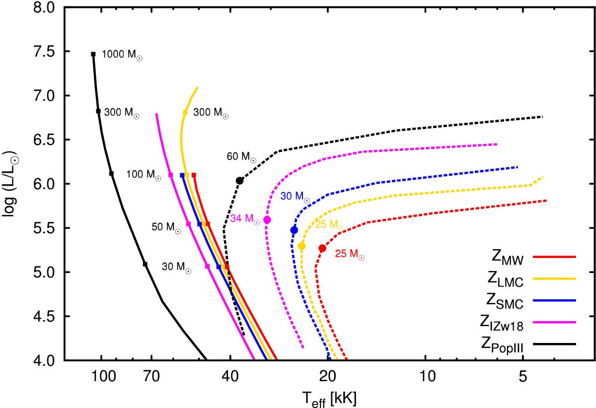
Fig. 2

image

Zero-age main-sequence (solid lines) and the terminal-age main-sequence lines (dotted lines) above log  (L/L) > 4 of the analysed stellar models at different metallicities. The masses of some representative models (black squares) are indicated along the ZAMS. The position of the TAMS (in the model grid) where they bend towards cooler effective temperatures are marked with coloured dots, and the corresponding initial masses of these models are labelled alongside.

Current usage metrics show cumulative count of Article Views (full-text article views including HTML views, PDF and ePub downloads, according to the available data) and Abstracts Views on Vision4Press platform.

Data correspond to usage on the plateform after 2015. The current usage metrics is available 48-96 hours after online publication and is updated daily on week days.

Initial download of the metrics may take a while.