Free Access

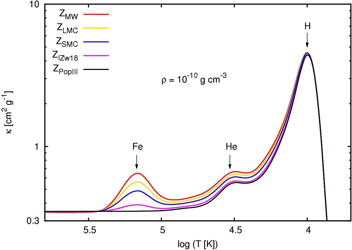
Fig. 7

image

Interpolated opacities from the OPAL tables for Teff> 8000 K and from Alexander & Ferguson (1994) for Teff > 8000 K. The density is fixed at ρ = 10-10 g cm-3, and opacities for the five metallicities used in this study are shown. The opacity peaks caused by iron, helium, and hydrogen ionisation are marked.

Current usage metrics show cumulative count of Article Views (full-text article views including HTML views, PDF and ePub downloads, according to the available data) and Abstracts Views on Vision4Press platform.

Data correspond to usage on the plateform after 2015. The current usage metrics is available 48-96 hours after online publication and is updated daily on week days.

Initial download of the metrics may take a while.