Free Access

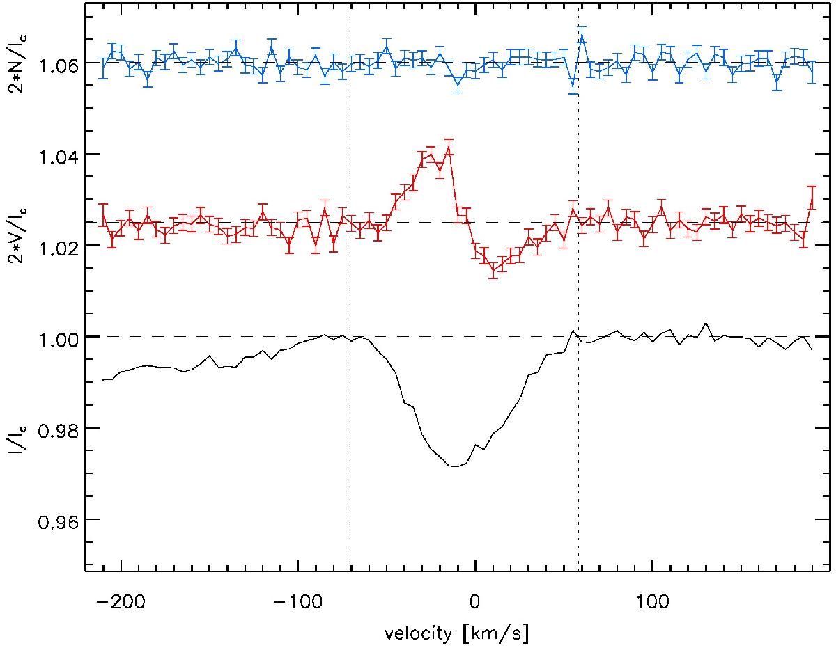
Fig. 1

image

LSD profiles of Stokes I , V and N parameters obtained for CPD 62° 2124 by the Bonn group. The vertical dotted lines indicate the velocity range adopted for the determination of the detection probability and Bz value. The Stokes V and N profiles have been shifted upwards by an arbitrary value and expanded by a factor of two.

Current usage metrics show cumulative count of Article Views (full-text article views including HTML views, PDF and ePub downloads, according to the available data) and Abstracts Views on Vision4Press platform.

Data correspond to usage on the plateform after 2015. The current usage metrics is available 48-96 hours after online publication and is updated daily on week days.

Initial download of the metrics may take a while.