Free Access

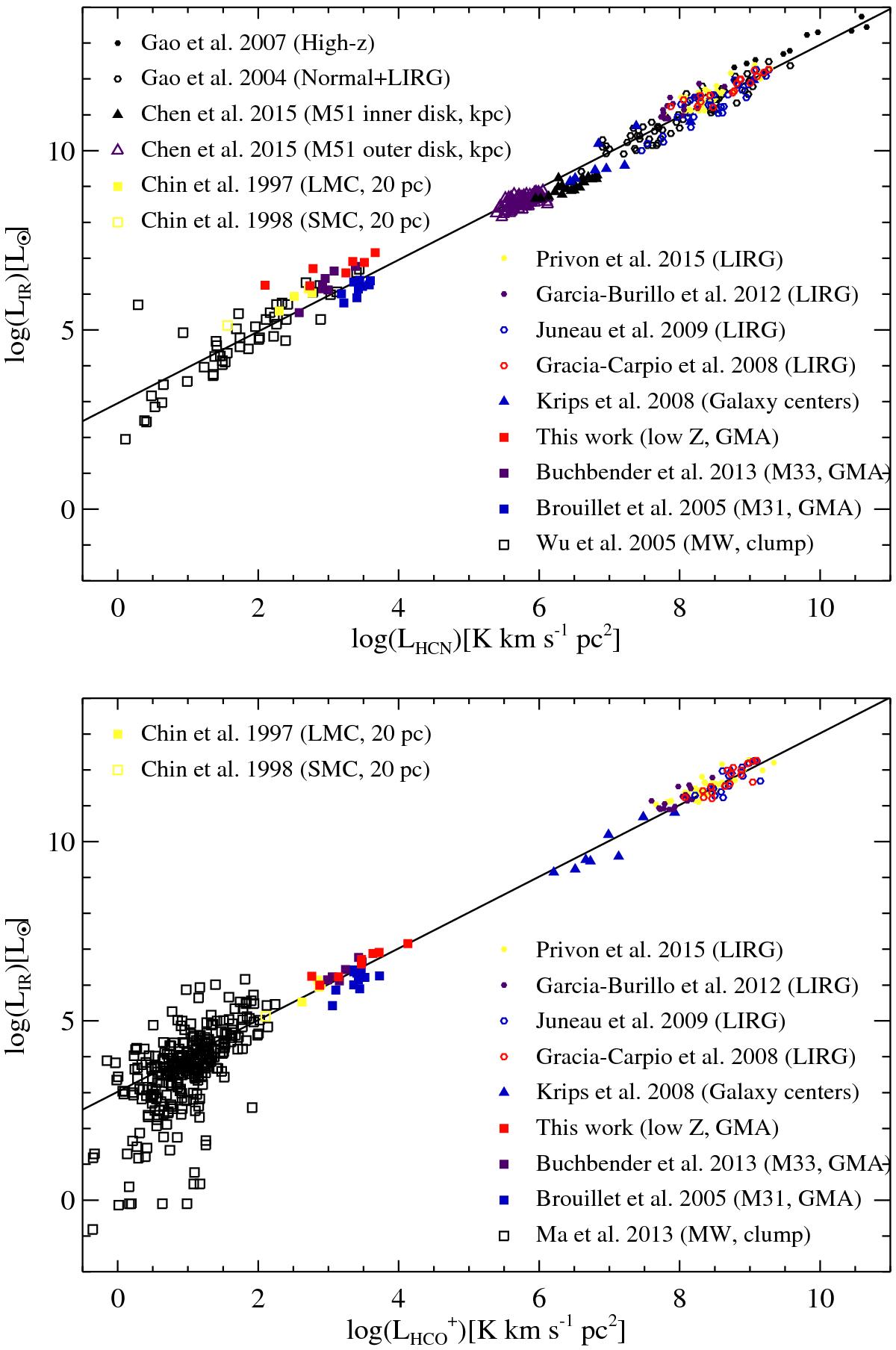
Fig. 10

image

Link between IR luminosity and HCN (upper panel) and HCO+ (lower panel) luminosity. The lines show a linear relation between the two quantities. The fits are log (LIR) = 2.95424 + log (LHCN) and log (LIR) = 3.04258 + log (LHCO+) and are from respectively Gao & Solomon (2004b) and Graciá-Carpio et al. (2008). The symbols indicate the reference and the scale of the observation.

This figure is made of several images, please see below:

Current usage metrics show cumulative count of Article Views (full-text article views including HTML views, PDF and ePub downloads, according to the available data) and Abstracts Views on Vision4Press platform.

Data correspond to usage on the plateform after 2015. The current usage metrics is available 48-96 hours after online publication and is updated daily on week days.

Initial download of the metrics may take a while.