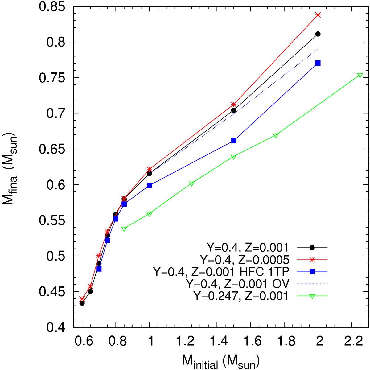
Fig. 4
 
      Theoretical initial-to-final mass relation for our helium-enhanced evolutionary sequences with metallicity Z = 0.001 and Z = 0.0005 (black and red solid lines, respectively). We also show the mass of the HFC at the first thermal pulse for the case Y = 0.4, Z = 0.001 (blue solid line). In addition, the initial-to-final mass relation when overshooting is considered during the TP-AGB phase, and that resulting from sequences with standard helium content (Y = 0.247 and Z = 0.001) are also shown (blue dotted and green solid lines, respectively).
Current usage metrics show cumulative count of Article Views (full-text article views including HTML views, PDF and ePub downloads, according to the available data) and Abstracts Views on Vision4Press platform.
Data correspond to usage on the plateform after 2015. The current usage metrics is available 48-96 hours after online publication and is updated daily on week days.
Initial download of the metrics may take a while.
