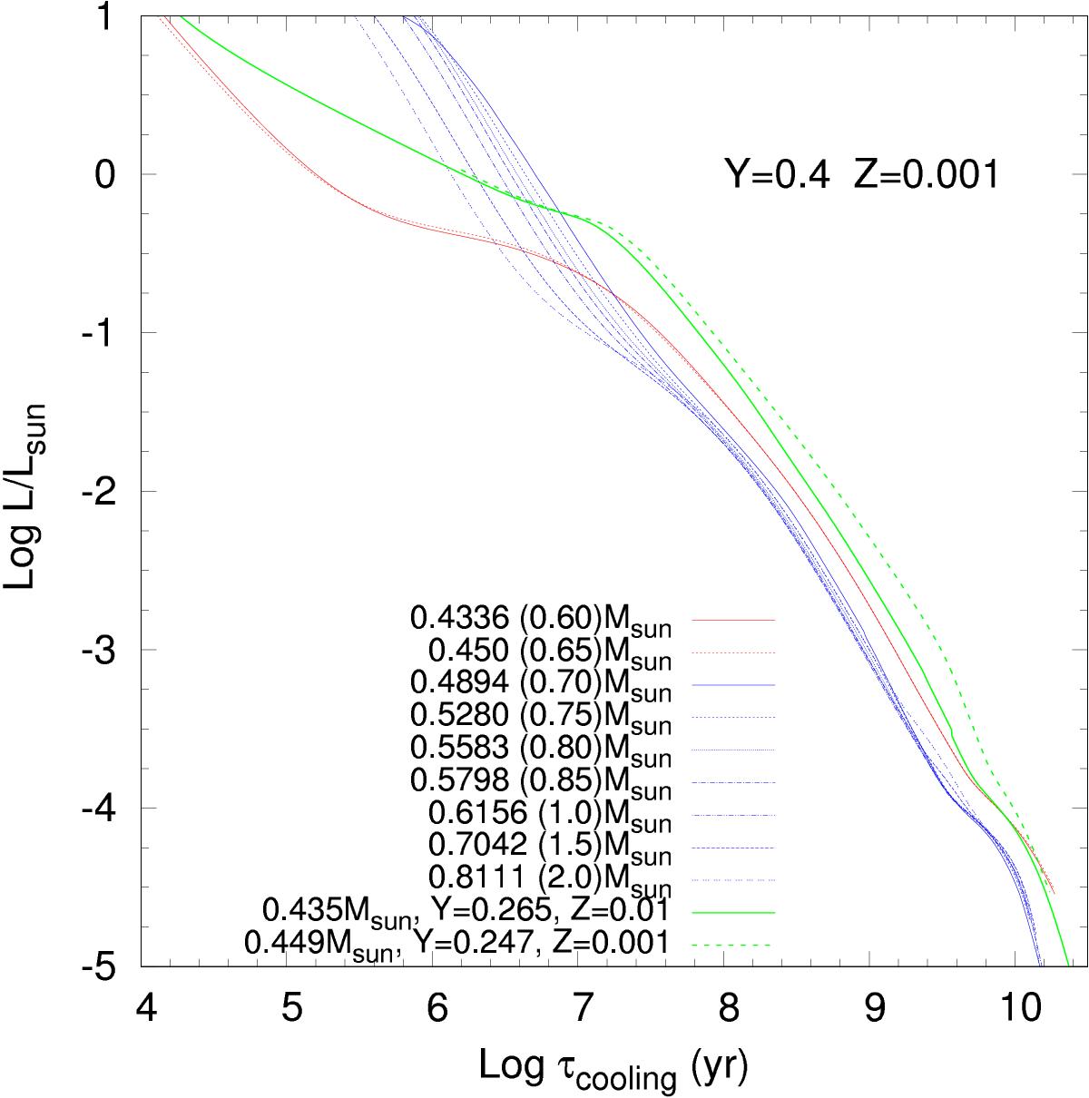
Fig. 7
 
      Cooling times for all our helium-enhanced sequences with Z = 0.001 and initial helium mass fractions Y = 0.4. Red and blue lines correspond to white dwarfs with helium and C/O cores, respectively. The solid green line corresponds to a helium-core white dwarf of mass 0.435 M⊙ resulting from a progenitor with Z = 0.01 and a standard initial helium abundance (Althaus et al. 2013), whilst the dashed green line corresponds to helium-core white dwarfs of mass 0.449 M⊙ resulting from a progenitor with Z = 0.001 and a standard initial helium abundance (Serenelli et al. 2002).
Current usage metrics show cumulative count of Article Views (full-text article views including HTML views, PDF and ePub downloads, according to the available data) and Abstracts Views on Vision4Press platform.
Data correspond to usage on the plateform after 2015. The current usage metrics is available 48-96 hours after online publication and is updated daily on week days.
Initial download of the metrics may take a while.
