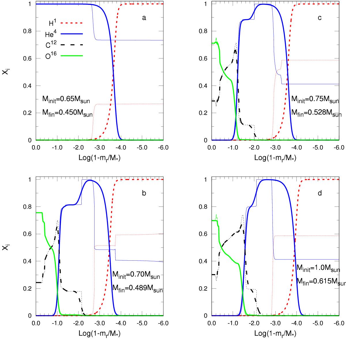
Fig. 8
 
      Chemical abundance distribution of hydrogen, helium, carbon, and oxygen in terms of the outer mass fraction for selected white dwarf models at the ZZ Ceti stage (thick lines) resulting from helium-enhanced progenitors with Z = 0.001 and initial helium abundance Y = 0.4. The chemical profiles at the beginning of the cooling track are the thin lines. Panel a) corresponds to a helium-core white dwarf resulting from a progenitor of initially M = 0.65 M⊙, while panels b, c, and d) to C/O white dwarfs resulting from progenitors with M = 0.70 M⊙, M = 0.75 M⊙, and M = 1.0 M⊙, respectively.
Current usage metrics show cumulative count of Article Views (full-text article views including HTML views, PDF and ePub downloads, according to the available data) and Abstracts Views on Vision4Press platform.
Data correspond to usage on the plateform after 2015. The current usage metrics is available 48-96 hours after online publication and is updated daily on week days.
Initial download of the metrics may take a while.
