Free Access

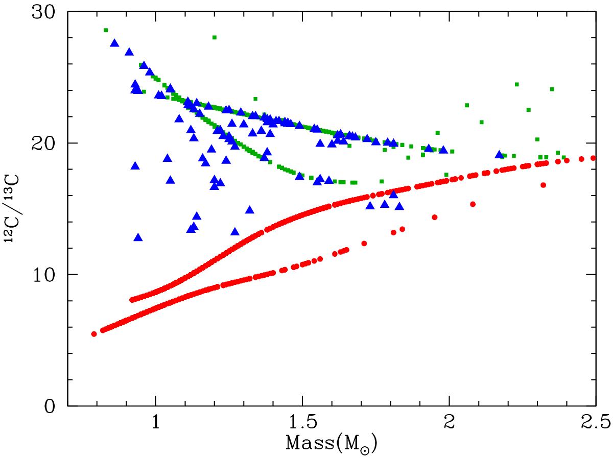
Fig. 5

image

Theoretical surface 12C /13C ratio values for the APOKASC sample as a function of their asteroseismic mass derived from the stellar evolution models of Lagarde et al. (2012). Those values are used as input for computation of the spectral grid.

Current usage metrics show cumulative count of Article Views (full-text article views including HTML views, PDF and ePub downloads, according to the available data) and Abstracts Views on Vision4Press platform.

Data correspond to usage on the plateform after 2015. The current usage metrics is available 48-96 hours after online publication and is updated daily on week days.

Initial download of the metrics may take a while.