Free Access

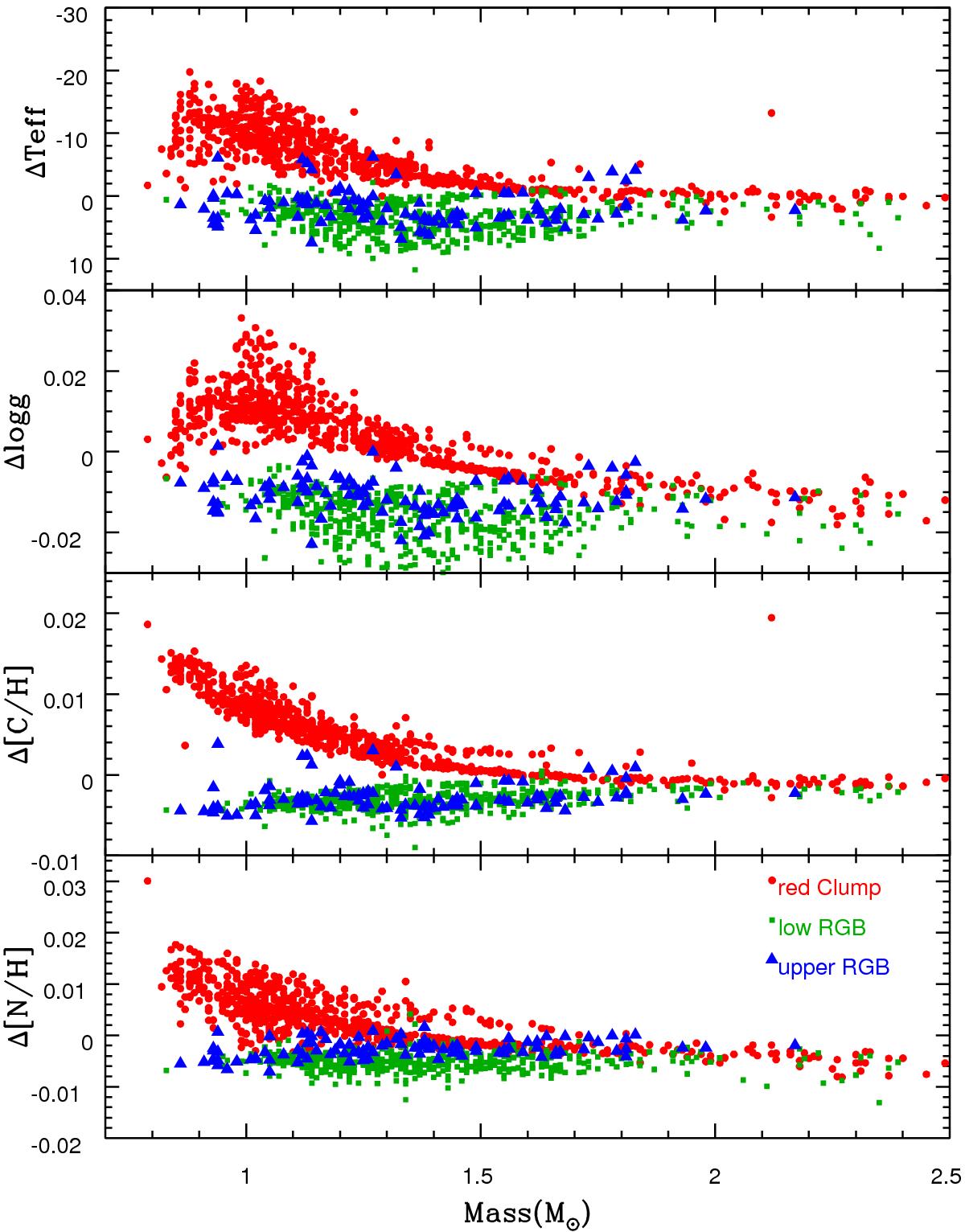
Fig. 6

image

Resulting difference in stellar parameter determination (Teff,log g, [C/H], and [N/H]) obtained by the Cannon on synthetic spectra when assuming a 12C /13C ratio of 15 and the stellar evolution model values described in Lagarde et al. (2012), and illustrated in Fig. 5.

Current usage metrics show cumulative count of Article Views (full-text article views including HTML views, PDF and ePub downloads, according to the available data) and Abstracts Views on Vision4Press platform.

Data correspond to usage on the plateform after 2015. The current usage metrics is available 48-96 hours after online publication and is updated daily on week days.

Initial download of the metrics may take a while.