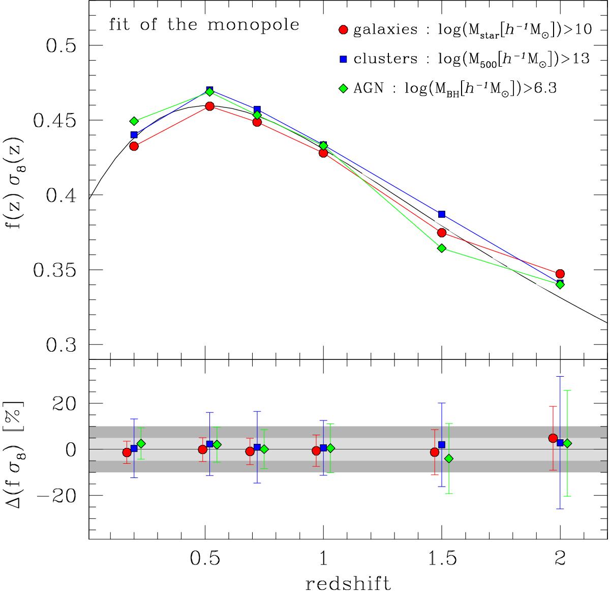
Fig. 2

Top panel: best-fit values of f(z)σ8(z) for galaxies with log (MSTAR [h-1M⊙]) > 10 (red dots), clusters with log (M500 [h-1M⊙]) > 13 (blue squares) and AGN with log (MBH [h-1M⊙]) > 6.3 (green diamonds), obtained with the method described in Sect. 5.1. The black line shows the function ΩM(z)0.545·σ8(z), where ΩM(z) and σ8(z) are the known values of the simulation. Bottom panel: percentage systematic errors on f(z)σ8(z), [(fσ8)measured−(fσ8)simulation] /(fσ8)simulation·100, that is, the percentage differences between the points and the black line shown in the top panel. The error bars have been estimated with Eq. (19). The values reported have been slightly shifted for visual clarity. To guide the eyes, the light and grey shaded areas highlight the 5% and 10% error regions, respectively.
Current usage metrics show cumulative count of Article Views (full-text article views including HTML views, PDF and ePub downloads, according to the available data) and Abstracts Views on Vision4Press platform.
Data correspond to usage on the plateform after 2015. The current usage metrics is available 48-96 hours after online publication and is updated daily on week days.
Initial download of the metrics may take a while.