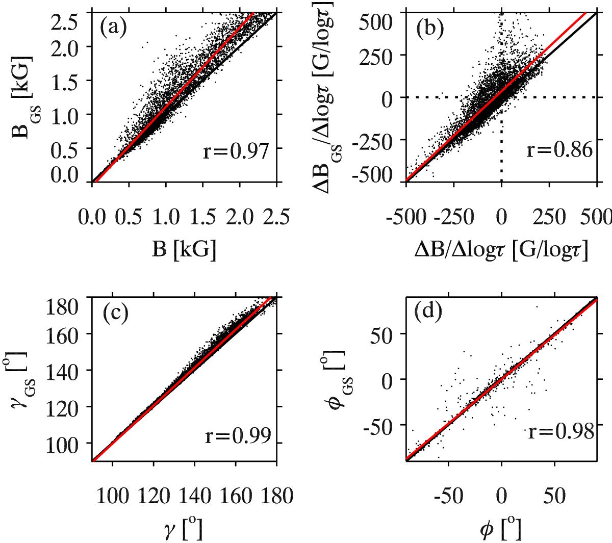
Fig. 4

Scatter plots of the magnetic field components obtained from SPINOR inversions without considering stray light vs. those with stray light taken into account. The plotted data were obtained on 14 November 2010, with VTT/TIP-2. Panels a)–c); and d) show B, ΔB/ Δlog τ, γ, and φ, respectively. The red line in each panel represents the linear regression. The correlation coefficient, r, is shown in the lower right corner of each panel.
Current usage metrics show cumulative count of Article Views (full-text article views including HTML views, PDF and ePub downloads, according to the available data) and Abstracts Views on Vision4Press platform.
Data correspond to usage on the plateform after 2015. The current usage metrics is available 48-96 hours after online publication and is updated daily on week days.
Initial download of the metrics may take a while.