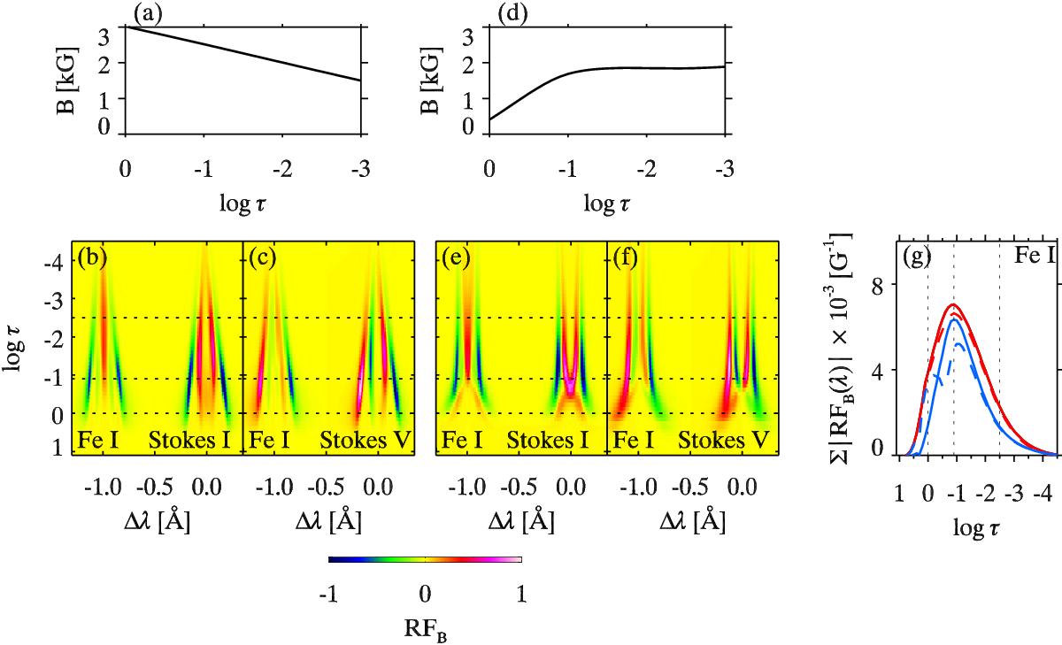
Fig. 9

Magnetic field response functions, RFB, of the Fe i 6301.5 Å and Fe i 6302.5 Å lines. Panels b) and c) show RFB for Stokes I and Stokes V, respectively, for a penumbral atmosphere with the magnetic field strength stratification presented in panel a). Panels e) and f) are the same as panels b) and c) but correspond to the magnetic field stratification displayed in panel d). The presented RFB values are normalized to the maximum value. The absolute values of RFB, integrated over wavelength (Δλ = ± 0.35Å ) for the Fe i 6302.5 Å line, are shown in panel g). Red and blue curves correspond to the positive and negative (ΔB/ Δlog τ), respectively. Solid curves are for Stokes I and dashed curves are for Stokes V. Dotted horizontal lines in panels b); c); e); and f) and dotted vertical lines in panel g) indicate the log τ nodes used in the inversions.
Current usage metrics show cumulative count of Article Views (full-text article views including HTML views, PDF and ePub downloads, according to the available data) and Abstracts Views on Vision4Press platform.
Data correspond to usage on the plateform after 2015. The current usage metrics is available 48-96 hours after online publication and is updated daily on week days.
Initial download of the metrics may take a while.