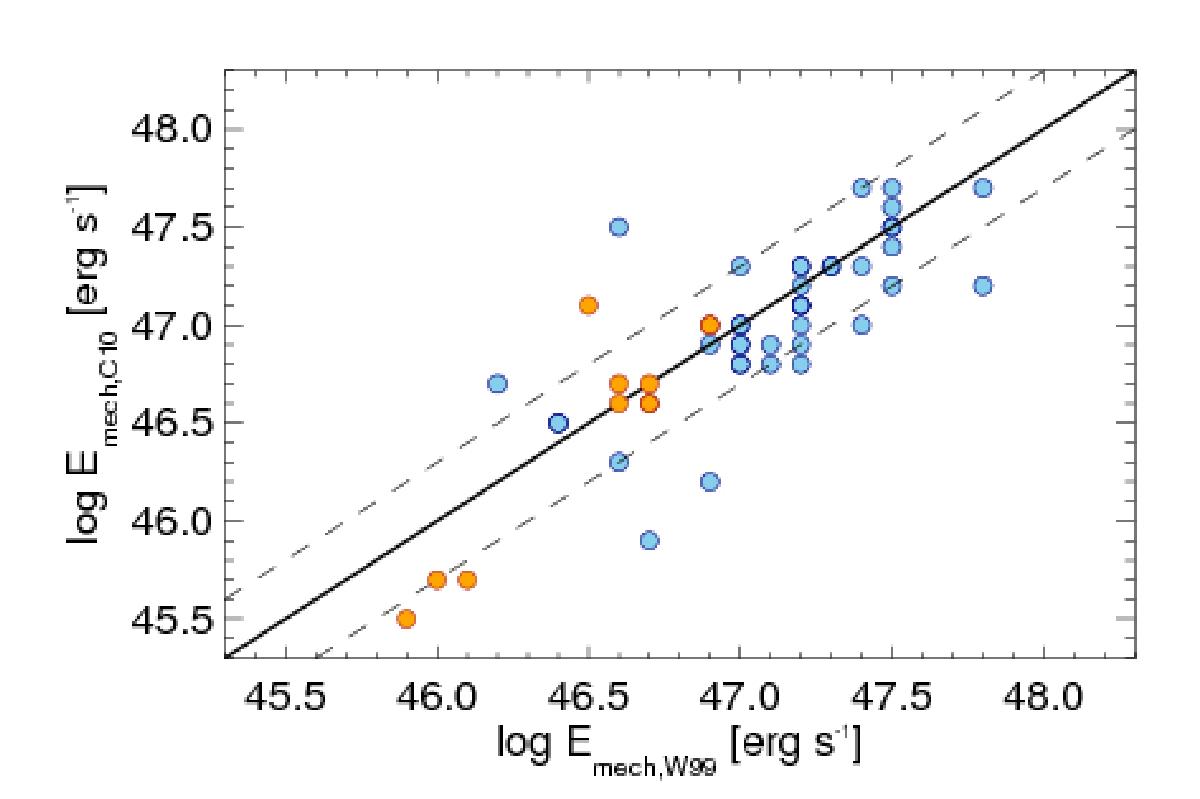
Fig. 15

Mechanical energy estimates obtained with the formalism of Willott et al. (1999) and Cavagnolo et al. (2010) are shown along the abscissa and ordinate, respectively. The solid line shows the line of equality between both estimates, dashed lines offsets by 0.3 dex (a factor of 2). The light blue and orange symbols show the sources of the present sample and that of Collet et al. (2016), respectively.
Current usage metrics show cumulative count of Article Views (full-text article views including HTML views, PDF and ePub downloads, according to the available data) and Abstracts Views on Vision4Press platform.
Data correspond to usage on the plateform after 2015. The current usage metrics is available 48-96 hours after online publication and is updated daily on week days.
Initial download of the metrics may take a while.