Free Access
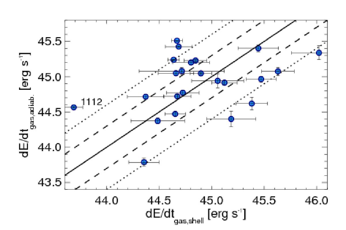
Fig. 18

Comparison of the results of our two kinetic energy estimates in Sect. 7.5 for the 23 galaxies with extended emission line regions, which have been observed in [OIII]λ5007. The dashed and dotted lines show offsets by factors 2 and 4, respectively, from the one-to-one relationship (solid line).
Current usage metrics show cumulative count of Article Views (full-text article views including HTML views, PDF and ePub downloads, according to the available data) and Abstracts Views on Vision4Press platform.
Data correspond to usage on the plateform after 2015. The current usage metrics is available 48-96 hours after online publication and is updated daily on week days.
Initial download of the metrics may take a while.