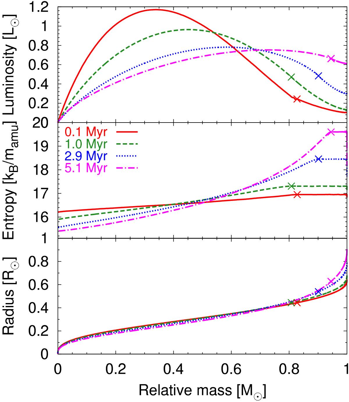
Fig. B.2

Profiles of luminosity (top panel), entropy (middle), and radius (bottom) in the stellar interior at 0.1 (red solid line; just after the accretion is completed), 1.0 (green dashed), 2.9 (blue dotted), and 5.1 (magenta dot-dashed) million years. As the luminosity propagates toward the surface, the entropy is redistributed. Crosses represent the base of the surface convective zone; kB and mamu are the Boltzmann constant and the atomic mass unit, respectively.
Current usage metrics show cumulative count of Article Views (full-text article views including HTML views, PDF and ePub downloads, according to the available data) and Abstracts Views on Vision4Press platform.
Data correspond to usage on the plateform after 2015. The current usage metrics is available 48-96 hours after online publication and is updated daily on week days.
Initial download of the metrics may take a while.