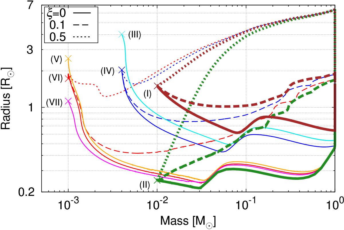
Fig. D.1

Evolution of radius as a function of mass for accreting stars with Ṁ = 10-5M⊙/ yr for different initial conditions and different values of ξ. The crosses (with corresponding I to VII labels) correspond to the initial conditions chosen to span a range of specific entropies. The different initial radii are 1.5 R⊙ (case I), 0.25 R⊙ (II), 4.0 R⊙ (III), 2.0 R⊙ (IV), 2.5 R⊙ (V), 1.8 R⊙ (VI), and 1.1 R⊙ (VII). Solid, dashed, and dotted lines indicate the evolution with ξ = 0,0.1 and 0.5, respectively. The evolution for cases (I) and (II) correspond to those adopted in the present manuscript and are highlighted with thicker lines.
Current usage metrics show cumulative count of Article Views (full-text article views including HTML views, PDF and ePub downloads, according to the available data) and Abstracts Views on Vision4Press platform.
Data correspond to usage on the plateform after 2015. The current usage metrics is available 48-96 hours after online publication and is updated daily on week days.
Initial download of the metrics may take a while.